浙江大学医学院附属第一医院精神卫生中心双相障碍研究取得重要成果,发现了中国青少年双相障碍抑郁发作的患者肠道菌群的特征性改变,其可以作为临床识别和治疗预测的生物学指标(biomarkers)。主要结果于2019年5月15 日在线发表在国际期刊Advanced Science , 题目为“Gut microbiota changes in patients with bipolar disorder”。
双相障碍是越来越被重视的精神疾病之一,根据WHO组织的世界健康调查计划,双相障碍年患病率是1.5%,终身患病率是2.4%。双相障碍具有高复发、高自杀、高致残的特点,首次发病的高危人群往往是18岁以下的青少年,造成了患者严重的学业和社会功能的受损,部分患者的病情呈慢性化和终身性。由于双相障碍具有情绪的极度不稳定性、症状的多样性、发作病程的反复性,临床往往被漏诊甚至误诊。早期发现及明确诊断,成为双相障碍的研究领域的一个难点。
早在2015年,浙大一院精神卫生中心胡少华、许毅教授团队就开始关注肠道菌群在双相障碍发病机理中的作用,并与浙大一院感染病学同行开展合作,深入研究双相障碍抑郁发作患者的肠道微生态多样性和特征的改变,以及对临床药物疗效的预测作用。
整个研究共纳入52例双相障碍抑郁发作患者,45例健康健康对照组,采用16S rRNA基因测序的分析方法,研究结果发现双相障碍患者的肠道菌群多样性与结构存在特征性改变,患者组的肠道菌群多样性与健康人相比显著降低(图1A)。经过LEfSe分析和置换方差分析,双相障碍患者和健康人肠道中的占优势的主要菌群分别是拟杆菌门和厚壁菌门(图2)。从属的水平上来看,患者肠道菌群中产丁酸盐细菌较健康人显著减少。进一步数据分析显示,双相障碍患者经4周固定剂量喹硫平(300mg/天)治疗后,Klebsiella and Veillonella水平增高,且多样性分析提示患者治疗前后肠道菌群结构未见明显差异(图1B),提示4周的临床干预,其肠道菌群结构并未恢复到正常状态。

图1. 双相障碍抑郁患者肠道菌群多样性较健康对照组下降;喹硫平治疗前后,双相障碍患者肠道菌群多样性未显示统计学差异。

图2. 双相障碍抑郁相患者肠道菌群结构与健康人存在差异;双相障碍患者和健康人肠道中的占优势的主要菌群分别是拟杆菌门和厚壁菌门。
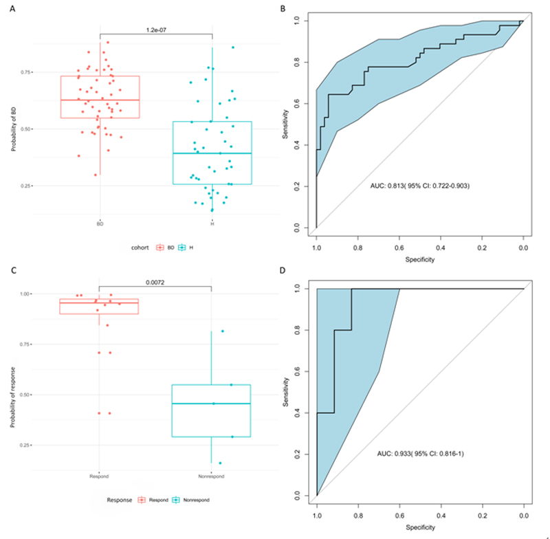
同时,本研究构建了用于早期诊断双相障碍患者的随机森林分类模型,筛选出30个预测效果最佳的OUT,可作为区分双相障碍患者与健康人的生物学标记物,在这个队列中,AUC值为0.81(图3A-B),具有较强的预测效能。此外,筛选出10种肠道菌群可作为预测患者喹硫平治疗疗效的生物学标记物,AUC值达到0.93(图3C-D),这也是国际上首次采用肠道菌群的生物标记来预测双相障碍的短期临床转归。本研究成果标志着肠道微生物来探索双相障碍的发病机理成为新的研究方向,未来可以利用调节肠道微生态的干预机制来改善双相障碍等疾病的精神症状。

图3. 双相障碍随机森林分类模型显示肠道菌群能有效用于BD诊断以及疗效预测。
本研究的突破也是多方研究团队合作的成果,郑州大学的李昂博士及浙江大学李明定教授分别作为共同第一作者和共同通讯作者参与了课题相关任务。浙江大学医学院硕士研究生黄婷婷、陆巧巧,浙大一院精神卫生中心来建波、路静、牟婷婷等参与了本研究的大量工作。本研究得到了国家重点研发计划(No. 2016YFC1307104 to Shaohua Hu)、浙江省重点研究项目(No. 2015C03040 to Yi Xu)、国家精准医学研究(No. 2016YFC0906300 to Ming D. Li)、国家自然科学基金(No. 81371493 to Shaohua Hu)等课题的大力支持。
Advanced Science 2018年IF:12.441

文章链接:https://doi.org/10.1002/advs.201900752
